All Articles

Aetherdrift Draft Week 2: Trends, Highlights, and Card Insights

Data used in this analysis is sourced from 17Lands, which aggregates draft data to provide insights into Magic: The Gathering limited formats. The information cited here does not imply endorsement by 17Lands.

As the dust settles after a rocky start, Aetherdrift’s meta is beginning to take shape in week 2. Let’s take a closer look at how player preferences have shifted over the past week.

Player Interest Over Time

As expected, the number of games played decreased from 290,000 in week one to 213,000 in week two, marking a 26.9% decline.

Line chart showing the number of Premier Draft games per week for the last several sets.

Inspecting the graph we can compare it to other recent sets. Interestingly, Aetherdrift’s decline rate is on the lower end of the spectrum, similar to Modern Horizons 3. This suggests that players are still engaged and that the format has more to explore.

Shifts in Color Preferences and Win Rates

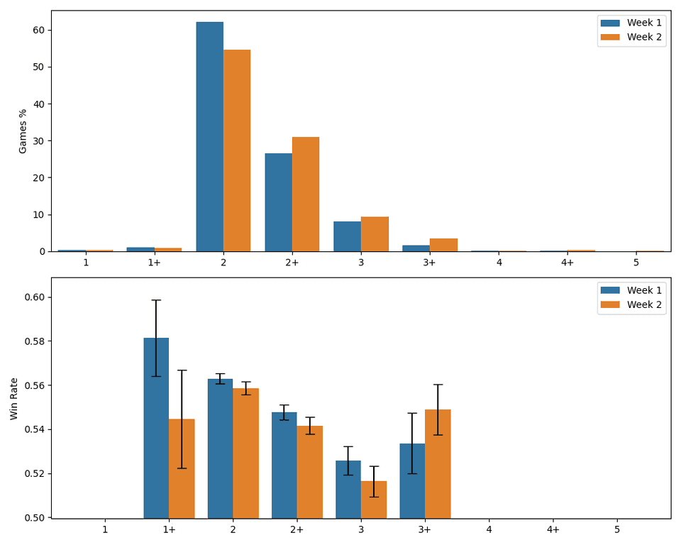
Deck composition is shifting toward playing more colors. The meta share of decks with more than two colors increased, particularly those with three or more colors. This shift indicates that players are learning how to draft successful multicolor decks, as seen in the improved performance of 3+ color strategies.

There are several reasons behind this trend:

  • The format is slow, so taking some time in the early game to fix your mana is not as punishing
  • The games are grindy and card quality matters, making splashing for powerful cards a good strategy
  • Green is good and supports multicolor well

Alex from Limited Level-Ups delved deeper into this in his latest episode. If you’re looking for more insights, it’s definitely worth a listen.

Two bar charts showing the weekly popularity and win rate of 1, 2, 3, 4 or 5 color decks.

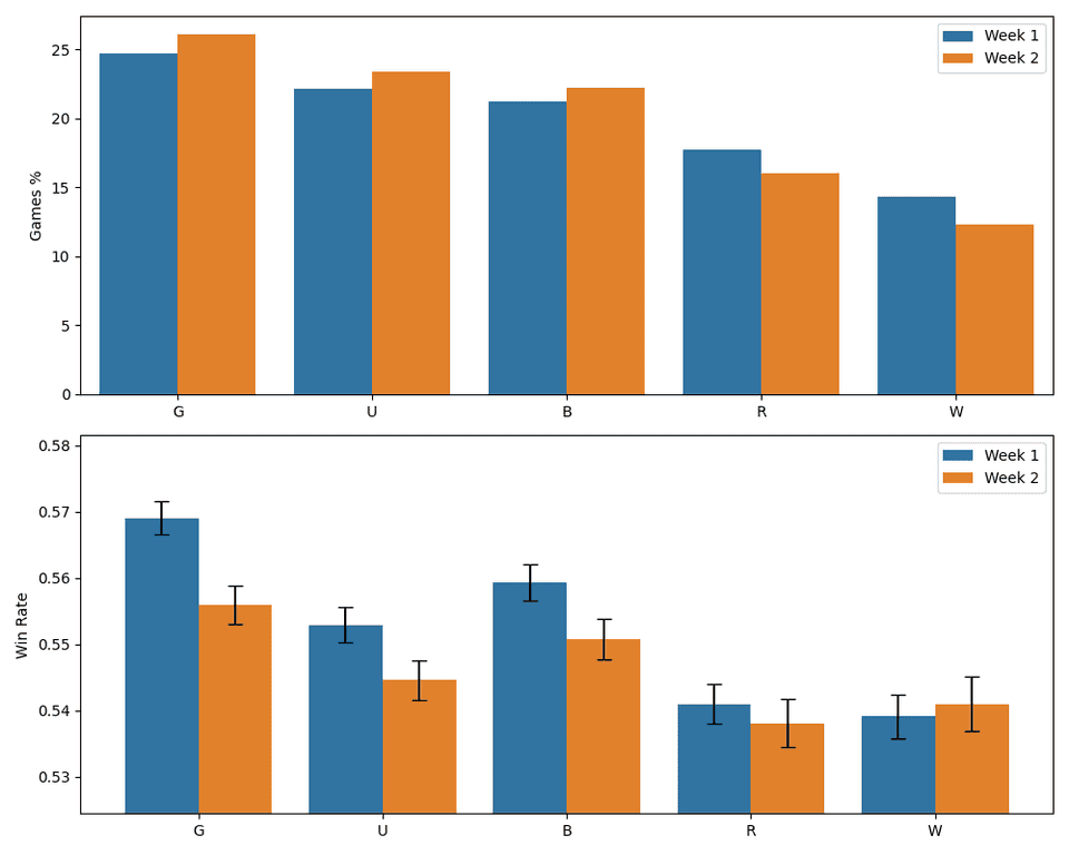
When it comes to color popularity, the ones that were leading last week have increased in their play rate even further. Green, Blue and Black are all played more often than before on the expense of Red and White.

Looking at the respective win rates, a hopeful view comes into sight. With more people drafting the Sultai colors, their win rates dropped significantly.

Meanwhile, White is gaining momentum and currently shows a higher average win rate than Red. However, the confidence intervals are close, so the difference might not be significant yet. If you’re interested in dipping your toes into some white decks, check out our Archetype Deep-dive article about Orzhov here.

Two bar charts showing the weekly popularity and win rate of each color.

Overall the win rate range of the five colors seems rather balanced. Early format worries of some people in the community that the power discrepancy between Green and White might be too problematic may have been unwarranted.

Archetype Performance

The archetype meta breakdown paints a similar picture to the color trends, reinforcing the emerging patterns in week 2. The most popular archetype, Blue/Green and Black/Green, increased in their meta share at the expense of most others.

In terms of win rate, the times of the nuts Simic and Golgari decks seems to be over, and we see their win rate falling in line with the other archetypes. Again, in terms of win rate we see a picture of a quite well balanced format, with most archetypes having roughly the same stats. Only White/Blue, Blue/Red and White/Red seem to be a tier lower, but even they don’t show any abysmal win rates.

Two bar charts showing the weekly popularity and win rate of each two-color archetype

Sierkovitz wrote the results on some analysis of the self-correcting nature of draft which explains what we are seeing here in terms of popularity and win rate. Make sure to check it out.

Cards of the Week

Let’s dive into some individual cards that made a significant impact this week.

ALSA Movers

Migrating Ketradon

Here we see the biggest changes in ALSA and the secret is out: Migrating Ketradon is an awesome card that's format warping. The Honey Mammoth variant is a good example of recent power creep, not only did it gain Reach, but also cycling, adding a failsafe for times when you're too far from casting it. In the last week it got picked on average one whole turn earlier, and you can expect that value to decrease even further.

Other cards that are valued higher are Stock Up and Thunderhead Gunner. Both cards make sure you have something to do in the late game, which is something you should consider during the draft.

Name Alsa Week 1 Alsa Week 2 Alsa Diff
Migrating Ketradon 4.78 3.78 -1
Stock Up 4.58 3.66 -0.92
Thunderhead Gunner 5.92 5.05 -0.87
Stampeding Scurryfoot 4.26 3.41 -0.85
Riverchurn Monument 3.69 2.87 -0.82
Cloudspire Coordinator

On the other side of the coin we see the cards that are picked at a lesser priority. Leading the list is Cloudspire Coordinator and the theme is clear, nobody wants to play Boros. Both White/Red signpost uncommons and the Boros rare are among the top 5 ALSA gainers this week.

Name Alsa Week 1 Alsa Week 2 Alsa Diff
Cloudspire Coordinator 4.77 5.5 0.73
Cloudspire Skycycle 4.74 5.39 0.65
Leonin Surveyor 5.35 5.97 0.62
Roadside Assistance 5.1 5.71 0.61
Kolodin, Triumph Caster 2.98 3.55 0.56

Gem and Junk of the Week

Cloudspire Coordinator

In this section, we’ll highlight cards that are performing well compared to their ALSA values, revealing some underrated gems and overvalued junk.

Three of the top 5 are the Road lands in Blue, Black and Green. Not that they are busted cards or anything like that, but these ALSA values suggest that they are quite often the last pick of a pack. Given that you can get them so late it is worth considering replacing a basic with them.

The other cards in the last are the two green combat trick Bestow Greatness and Silken Strength. Combat tricks are good in Aetherdrift, so don't sleep on these cards.

Name Win Rate ALSA
Reef Roads 55.65 7.44
Bestow Greatness 56.72 6.95
Foul Roads 55.35 7.34
Silken Strength 55.07 7.37
Wild Roads 56.17 6.85
Cryptcaller Chariot

Clearly underperforming are the following rare and mythic Vehicles. Keep in mind that Vehicles are not creatures and the situations where you cannot crew can cost you games. Some of these cards have horrible win rates and shouldn’t be put into a deck. None of them should be first picked, which is a mistake a lot of players do, suggested by the data.

Name Win Rate ALSA
Cryptcaller Chariot 52.32 2.58
Salvation Engine 55.26 1.72
The Last Ride 52.79 2.53
Lifecraft Engine 52.46 2.68
Valor's Flagship 55.29 1.82

After the first week of Aetherdrift you might have thought that the format is too skewed for enjoying it long term with Green being so dominant and White lagging behind. This week brought a promising course correction, revealing a more balanced and diverse metagame. It’s exciting to see how the format is evolving!

If you enjoyed this weekly overview, please consider subscribing to our weekly newsletter to make sure you don’t miss out on some interesting insights.

Impressum
Deactivate Google Tracking